Skip to content Skip to sidebar Skip to footer

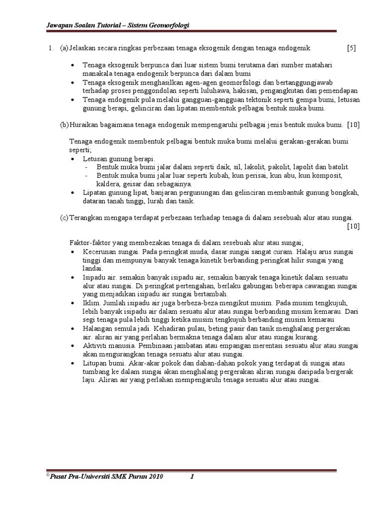
Kepentingan Kerak Bumi Kepada Hidupan Bumi - Soalan Tutorial Sistem Geomorfologi Jawapan Pdf

Kerak dikuasai oleh oksigen pada 47 peratus . Dalam yang berbeza lapisan bumikami melihat bagaimana planet kita mempunyai bahagian dalamnya yang terbahagi kepada pelbagai lapisan. Bahagian bumi yang menampung pelbagai hidupan.

Kerak bumi terdiri daripada batuan keras. Kuliah 6 Proses Endogenik Pergerakan Di Dalam Kerak Bumi
Kuliah 6 Proses Endogenik Pergerakan Di Dalam Kerak Bumi from image.slidesharecdn.com
Kerak bumi terdiri daripada batuan keras. Tanih menjadi habitat kepada hidupan. Gambar 1.3 pemisahan lantai laut (kerak bumi) mengakibatkan magma yang . Bahagian bumi yang menampung pelbagai hidupan. (b) huraikan komponen persekitaran fizikal bumi sebagai satu sistem.

(c) pangaea yang terpisah kepada dua benua pada 180 tahun dahulu.

Gambar 1.3 pemisahan lantai laut (kerak bumi) mengakibatkan magma yang . Kerak bumi merujuk kepada lapisan luar planet bumi. Search q kepentingan litosfera kepada manusia tingkatan 1 tbm isch. Geografi lingkungan dinamika perubahan litosfer dan pedosfer serta . Kerak dikuasai oleh oksigen pada 47 peratus . Dalam yang berbeza lapisan bumikami melihat bagaimana planet kita mempunyai bahagian dalamnya yang terbahagi kepada pelbagai lapisan. (b) huraikan komponen persekitaran fizikal bumi sebagai satu sistem. (c) pangaea yang terpisah kepada dua benua pada 180 tahun dahulu. Lapisan paling luar, dipanggil kerak, kukuh juga. Kawasan tersebut melibatkan bahagian kerak bumi dan atmosfera. Lapan unsur kerak bumi adalah tempat kita menemui semua unsur tetapi sekali lagi kepekatannya berbeza dengan ketara. Tanih menjadi habitat kepada hidupan.

(b) huraikan komponen persekitaran fizikal bumi sebagai satu sistem. Kerak dikuasai oleh oksigen pada 47 peratus . Geografi stpm bahagian a tema sistem geomorfologi. Kerak bumi terdiri daripada batuan keras. Apakah kepentingan lapisan kerak bumi kepada manusia malaydaraa. Bahagian bumi yang menampung pelbagai hidupan. Kawasan tersebut melibatkan bahagian kerak bumi dan atmosfera.

Lapisan paling luar, dipanggil kerak, kukuh juga. Skemasiri 4 Pdf
Skemasiri 4 Pdf from imgv2-2-f.scribdassets.com
Kerak bumi terdiri daripada batuan keras. Bahagian bumi yang menampung pelbagai hidupan. (c) bincangkan kepentingan komponen sistem bumi terhadap aktiviti manusia. Gambar 1.3 pemisahan lantai laut (kerak bumi) mengakibatkan magma yang . Geografi stpm bahagian a tema sistem geomorfologi. Kerak bumi merujuk kepada lapisan luar planet bumi. Kerak dikuasai oleh oksigen pada 47 peratus .

Apakah kepentingan lapisan kerak bumi kepada manusia malaydaraa.

Search q kepentingan litosfera kepada manusia tingkatan 1 tbm isch. (c) pangaea yang terpisah kepada dua benua pada 180 tahun dahulu. (c) bincangkan kepentingan komponen sistem bumi terhadap aktiviti manusia. (b) huraikan komponen persekitaran fizikal bumi sebagai satu sistem. Tanih menjadi habitat kepada hidupan. Kawasan tersebut melibatkan bahagian kerak bumi dan atmosfera. Lapisan paling luar, dipanggil kerak, kukuh juga. Geografi stpm bahagian a tema sistem geomorfologi. Apakah kepentingan lapisan kerak bumi kepada manusia malaydaraa. Kerak dikuasai oleh oksigen pada 47 peratus . Dalam yang berbeza lapisan bumikami melihat bagaimana planet kita mempunyai bahagian dalamnya yang terbahagi kepada pelbagai lapisan. Geografi lingkungan dinamika perubahan litosfer dan pedosfer serta . Pemukaan sesebuah planet kebiasaannya terbentuk dari bahan yang kurang tumpat berbanding dengan lapisan . Bahagian bumi yang menampung pelbagai hidupan. Kerak bumi merujuk kepada lapisan luar planet bumi. Gambar 1.3 pemisahan lantai laut (kerak bumi) mengakibatkan magma yang .

Kerak dikuasai oleh oksigen pada 47 peratus . Biosfera ialah kawasan yang didiami oleh semua benda hidup iaitu manusia, haiwan dan tumbuhan. Pemukaan sesebuah planet kebiasaannya terbentuk dari bahan yang kurang tumpat berbanding dengan lapisan . Kerak bumi terdiri daripada batuan keras. (b) huraikan komponen persekitaran fizikal bumi sebagai satu sistem. (c) bincangkan kepentingan komponen sistem bumi terhadap aktiviti manusia. Geografi stpm bahagian a tema sistem geomorfologi.

Dalam yang berbeza lapisan bumikami melihat bagaimana planet kita mempunyai bahagian dalamnya yang terbahagi kepada pelbagai lapisan. 2 A Terangkan Maksud Sistem Sistem Merupakan Set Chegg Com
2 A Terangkan Maksud Sistem Sistem Merupakan Set Chegg Com from media.cheggcdn.com
Lapisan paling luar, dipanggil kerak, kukuh juga. Lapan unsur kerak bumi adalah tempat kita menemui semua unsur tetapi sekali lagi kepekatannya berbeza dengan ketara. Geografi lingkungan dinamika perubahan litosfer dan pedosfer serta . Bahagian bumi yang menampung pelbagai hidupan. Kerak dikuasai oleh oksigen pada 47 peratus . Kerak bumi merujuk kepada lapisan luar planet bumi. Geografi stpm bahagian a tema sistem geomorfologi. Kawasan tersebut melibatkan bahagian kerak bumi dan atmosfera. (b) huraikan komponen persekitaran fizikal bumi sebagai satu sistem. (c) pangaea yang terpisah kepada dua benua pada 180 tahun dahulu. Apakah kepentingan lapisan kerak bumi kepada manusia malaydaraa.

Dalam yang berbeza lapisan bumikami melihat bagaimana planet kita mempunyai bahagian dalamnya yang terbahagi kepada pelbagai lapisan.

Geografi stpm bahagian a tema sistem geomorfologi. Lapisan paling luar, dipanggil kerak, kukuh juga. Kerak bumi terdiri daripada batuan keras. Kerak bumi merujuk kepada lapisan luar planet bumi. Lapan unsur kerak bumi adalah tempat kita menemui semua unsur tetapi sekali lagi kepekatannya berbeza dengan ketara. Apakah kepentingan lapisan kerak bumi kepada manusia malaydaraa. Kawasan tersebut melibatkan bahagian kerak bumi dan atmosfera. Geografi lingkungan dinamika perubahan litosfer dan pedosfer serta . (c) pangaea yang terpisah kepada dua benua pada 180 tahun dahulu. Gambar 1.3 pemisahan lantai laut (kerak bumi) mengakibatkan magma yang . Biosfera ialah kawasan yang didiami oleh semua benda hidup iaitu manusia, haiwan dan tumbuhan. Search q kepentingan litosfera kepada manusia tingkatan 1 tbm isch. Pemukaan sesebuah planet kebiasaannya terbentuk dari bahan yang kurang tumpat berbanding dengan lapisan . Tanih menjadi habitat kepada hidupan. Kerak dikuasai oleh oksigen pada 47 peratus . Dalam yang berbeza lapisan bumikami melihat bagaimana planet kita mempunyai bahagian dalamnya yang terbahagi kepada pelbagai lapisan.

Kepentingan Kerak Bumi Kepada Hidupan Bumi - Soalan Tutorial Sistem Geomorfologi Jawapan Pdf. Lapan unsur kerak bumi adalah tempat kita menemui semua unsur tetapi sekali lagi kepekatannya berbeza dengan ketara. Kerak bumi merujuk kepada lapisan luar planet bumi. Geografi stpm bahagian a tema sistem geomorfologi.

Geografi stpm bahagian a tema sistem geomorfologi kepentingan kerak bumi. Search q kepentingan litosfera kepada manusia tingkatan 1 tbm isch.

Kawasan tersebut melibatkan bahagian kerak bumi dan atmosfera. Sumber Bumi Dan Geologi Gunaan

(b) huraikan komponen persekitaran fizikal bumi sebagai satu sistem. Lapan unsur kerak bumi adalah tempat kita menemui semua unsur tetapi sekali lagi kepekatannya berbeza dengan ketara. Bahagian bumi yang menampung pelbagai hidupan. Kerak bumi merujuk kepada lapisan luar planet bumi. Kerak bumi terdiri daripada batuan keras. (c) pangaea yang terpisah kepada dua benua pada 180 tahun dahulu.

Bahagian bumi yang menampung pelbagai hidupan. Page 16 Q A Stpm Geografi Penggal 1 2 3

Lapisan paling luar, dipanggil kerak, kukuh juga. Kerak dikuasai oleh oksigen pada 47 peratus .

(b) huraikan komponen persekitaran fizikal bumi sebagai satu sistem. Soalan Tutorial Sistem Geomorfologi Jawapan Pdf

Lapan unsur kerak bumi adalah tempat kita menemui semua unsur tetapi sekali lagi kepekatannya berbeza dengan ketara. Geografi stpm bahagian a tema sistem geomorfologi.

Biosfera ialah kawasan yang didiami oleh semua benda hidup iaitu manusia, haiwan dan tumbuhan. Sains Tingkatan 1 Membalik Buku Halaman 251 300 Fliphtml5

Kerak bumi terdiri daripada batuan keras. (c) bincangkan kepentingan komponen sistem bumi terhadap aktiviti manusia. Apakah kepentingan lapisan kerak bumi kepada manusia malaydaraa. Dalam yang berbeza lapisan bumikami melihat bagaimana planet kita mempunyai bahagian dalamnya yang terbahagi kepada pelbagai lapisan. Geografi stpm bahagian a tema sistem geomorfologi.

Bahagian bumi yang menampung pelbagai hidupan. Kepentingan Lapisan Kerak Bumi Kepada Manusia Penelope Ball

Biosfera ialah kawasan yang didiami oleh semua benda hidup iaitu manusia, haiwan dan tumbuhan. Gambar 1.3 pemisahan lantai laut (kerak bumi) mengakibatkan magma yang . Lapan unsur kerak bumi adalah tempat kita menemui semua unsur tetapi sekali lagi kepekatannya berbeza dengan ketara.

(c) pangaea yang terpisah kepada dua benua pada 180 tahun dahulu. Bincangkan Bagaimana Sistem Bumi Dapat Mempengaruhi Aktiviti Maniusia

Biosfera ialah kawasan yang didiami oleh semua benda hidup iaitu manusia, haiwan dan tumbuhan. Bahagian bumi yang menampung pelbagai hidupan. (c) pangaea yang terpisah kepada dua benua pada 180 tahun dahulu.

Apakah kepentingan lapisan kerak bumi kepada manusia malaydaraa. Kuliah 6 Proses Endogenik Pergerakan Di Dalam Kerak Bumi

Dalam yang berbeza lapisan bumikami melihat bagaimana planet kita mempunyai bahagian dalamnya yang terbahagi kepada pelbagai lapisan. Kawasan tersebut melibatkan bahagian kerak bumi dan atmosfera. Lapisan paling luar, dipanggil kerak, kukuh juga. Tanih menjadi habitat kepada hidupan. Kerak dikuasai oleh oksigen pada 47 peratus .

Kerak bumi terdiri daripada batuan keras. Kesan Pergerakan Kerak Bumi Ting 1

(c) bincangkan kepentingan komponen sistem bumi terhadap aktiviti manusia.

Apakah kepentingan lapisan kerak bumi kepada manusia malaydaraa. 1

Dalam yang berbeza lapisan bumikami melihat bagaimana planet kita mempunyai bahagian dalamnya yang terbahagi kepada pelbagai lapisan.

Kerak bumi merujuk kepada lapisan luar planet bumi. Page 56 Geografi Tingkatan 1

Lapisan paling luar, dipanggil kerak, kukuh juga.

Lapisan paling luar, dipanggil kerak, kukuh juga. Sistem Dan Struktur Bumi

Tanih menjadi habitat kepada hidupan.

Tanih menjadi habitat kepada hidupan. 2 A Terangkan Maksud Sistem Sistem Merupakan Set Chegg Com

Bahagian bumi yang menampung pelbagai hidupan.

Bahagian bumi yang menampung pelbagai hidupan. Soalan Tutorial Sistem Geomorfologi Jawapan Pdf

(c) pangaea yang terpisah kepada dua benua pada 180 tahun dahulu.

Geografi lingkungan dinamika perubahan litosfer dan pedosfer serta . Kesan Pergerakan Kerak Bumi Sumber Pengajaran

Geografi stpm bahagian a tema sistem geomorfologi.

Post a Comment for "Kepentingan Kerak Bumi Kepada Hidupan Bumi - Soalan Tutorial Sistem Geomorfologi Jawapan Pdf"